

“管綜數學角”是泰祺教育打造的精品學科欄目之一,專注于管理類聯考綜合卷的數學科目。通過定期發布管綜數學的復習攻略、備考規劃、難點突破、解題技巧等干貨分享,旨在幫助同學們掌握學習方法、提高學習興趣,為數學備考助一臂之力!

本文作者:朱雪杰老師
泰祺教育數學教研組老師
實數在聯考中幾乎每年都會涉及到1-2題,題量雖然不大,知識點也不會太難,可若不注意也會把唾手可得的分丟掉。這部分知識點雖然概念多,題目靈活多變,但是也有很多解題方法,尤其是實數的運算,只要掌握解題技巧,就能節省做題時間,對考試大有幫助。
下面就是我們常用的幾種實數運算的方法,大家可以配合例題好好理解。

運算技巧之換元法
對于繁雜且復雜的項,可以運用換元的方式做題
例題


運算技巧之平方差相消

例題


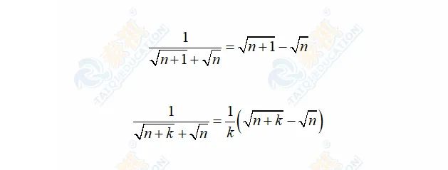
運算技巧之有理化相消

例題


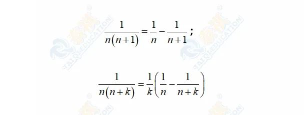
運算技巧之裂項相消


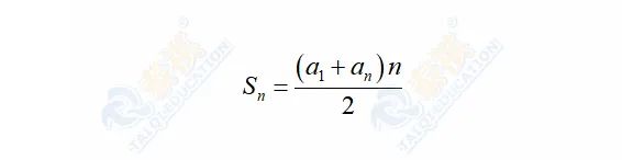
運算技巧之等差數列求和

例題


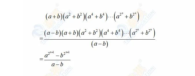
運算技巧之連乘相消
前項分子等于后項分母
例題

實數的習題簡單而靈活,大家要多加練習,鞏固基礎,掌握運算技巧,才能快而準地得到答案。

